Один раз в заряженный и отключенный от батарейки плоский конденсатор помещают стеклянную пластину. Она заполняет все пространство между пластинами конденсатора. Во второй раз раздвигают его пластины, при этом пространство между пластинами заполнено воздухом. Напряженность поля в пространстве между пластинами
1)  в обоих случаях не изменяется
2)  в обоих случаях увеличивается
3)  в первом случае уменьшается, во втором — увеличивается
4)  в первом случае уменьшается, во втором — не меняется
спросил 17 Авг, 18 от radmila в категории школьный раздел


решение вопроса

+7

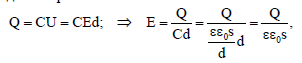
При отключении конденсатора от источника и последующих манипуляциях величина заряда конденсатора

напряжённость электрического поля между пластинами конденсатора обратно пропорциональна диэлектрической проницаемости е и не зависит от расстояния между пластинами.

ответил 17 Авг, 18 от kot-katianich

Связанных вопросов не найдено

Обучайтесь и развивайтесь всесторонне вместе с нами, делитесь знаниями и накопленным опытом, расширяйте границы знаний и ваших умений.

Популярное на сайте:

Как быстро выучить стихотворение наизусть? Запоминание стихов является стандартным заданием во многих школах. 

Как научится читать по диагонали? Скорость чтения зависит от скорости восприятия каждого отдельного слова в тексте. 

Как быстро и эффективно исправить почерк?  Люди часто предполагают, что каллиграфия и почерк являются синонимами, но это не так.

Как научится говорить грамотно и правильно? Общение на хорошем, уверенном и естественном русском языке является достижимой целью.