Как изменится период колебаний пружинного маятника, если его масса уменьшится ровно в n = 9 раз?
спросил 11 Авг, 18 от radmila в категории школьный раздел


решение вопроса

+7

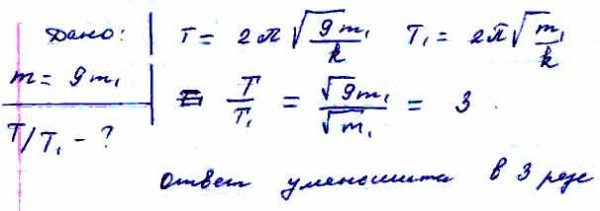
Воспользуемся системой уравнений, записанных для двух значений периода колебаний

ответил 11 Авг, 18 от kot-katianich
+7

ответ к заданию по физике
 

ответил 02 Июнь, 19 от ветерок

Связанных вопросов не найдено

Обучайтесь и развивайтесь всесторонне вместе с нами, делитесь знаниями и накопленным опытом, расширяйте границы знаний и ваших умений.

Популярное на сайте:

Как быстро выучить стихотворение наизусть? Запоминание стихов является стандартным заданием во многих школах. 

Как научится читать по диагонали? Скорость чтения зависит от скорости восприятия каждого отдельного слова в тексте. 

Как быстро и эффективно исправить почерк?  Люди часто предполагают, что каллиграфия и почерк являются синонимами, но это не так.

Как научится говорить грамотно и правильно? Общение на хорошем, уверенном и естественном русском языке является достижимой целью.