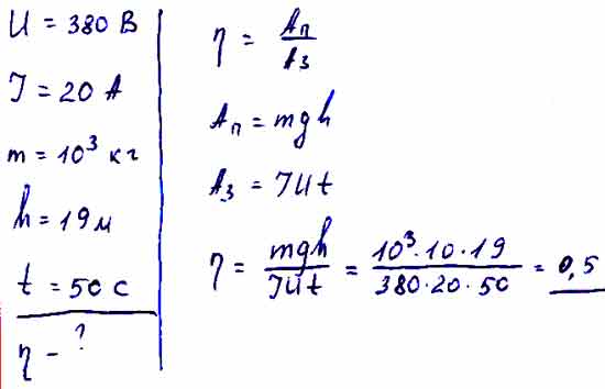
Электродвигатель подъёмного крана подключён к источнику то­ка напряжением 380 В, при этом сила тока в обмотке 20 А. Оп­ределите КПД подъёмного крана, если он поднимает груз массой 1 т на высоту 19 м за 50 с.
спросил 03 Авг, 18 от radmila в категории школьный раздел


решение вопроса

+7

ответ -  50 %

ответил 03 Авг, 18 от kot-katianich

Связанных вопросов не найдено

Обучайтесь и развивайтесь всесторонне вместе с нами, делитесь знаниями и накопленным опытом, расширяйте границы знаний и ваших умений.

Популярное на сайте:

Как быстро выучить стихотворение наизусть? Запоминание стихов является стандартным заданием во многих школах. 

Как научится читать по диагонали? Скорость чтения зависит от скорости восприятия каждого отдельного слова в тексте. 

Как быстро и эффективно исправить почерк?  Люди часто предполагают, что каллиграфия и почерк являются синонимами, но это не так.

Как научится говорить грамотно и правильно? Общение на хорошем, уверенном и естественном русском языке является достижимой целью.