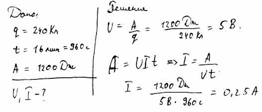
При переносе заряда 240 Кл из одной точки электрической цепи в другую за 16 мин была совершена работа 1200 Дж. Определите напряжение и силу тока в цепи.
спросил 26 Апр, 18 от Olга в категории школьный раздел


решение вопроса

0

ответ к заданию по физике
 

ответил 26 Апр, 18 от мериам
0
Ответ: 5В и 0,27А
U=A/q=1200Дж/240Кл=5В
I=q/t=240Кл/900с=0,27А
ответил 26 Янв, 23 от Гений Физики

Связанных вопросов не найдено

Обучайтесь и развивайтесь всесторонне вместе с нами, делитесь знаниями и накопленным опытом, расширяйте границы знаний и ваших умений.

Популярное на сайте:

Как быстро выучить стихотворение наизусть? Запоминание стихов является стандартным заданием во многих школах. 

Как научится читать по диагонали? Скорость чтения зависит от скорости восприятия каждого отдельного слова в тексте. 

Как быстро и эффективно исправить почерк?  Люди часто предполагают, что каллиграфия и почерк являются синонимами, но это не так.

Как научится говорить грамотно и правильно? Общение на хорошем, уверенном и естественном русском языке является достижимой целью.