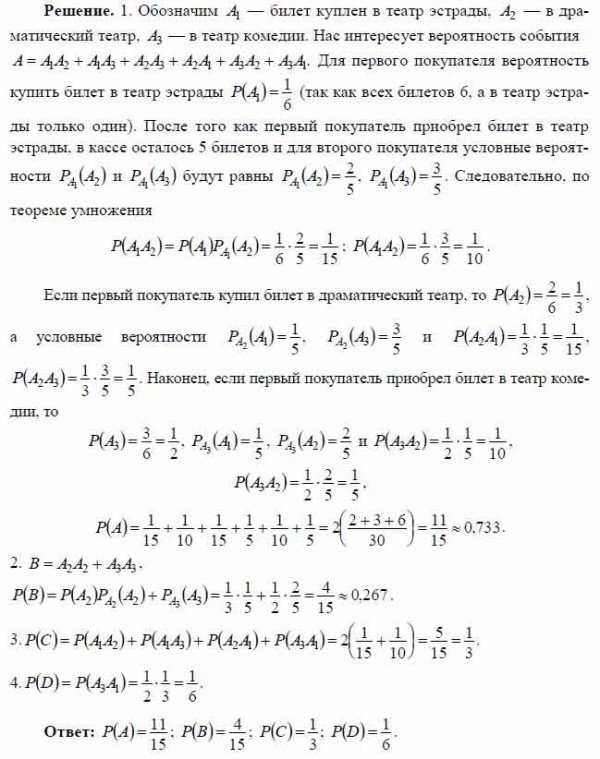
В театральной кассе к некоторому моменту времени осталось: 1 билет в театр эстрады, 2 билета в драматический театр и 3 билета в театр комедии. Каждый очередной покупатель покупает лишь один билет с равной вероятностью в любой из возможных театров. Два человека из очереди последовательно приобрели билеты. Найти вероятности следующих событий: 1) А = = «куплены билеты в разные театры»; 2) В = «куплены билеты в какой-нибудь один театр»; 3) С = «все билеты в театр эстрады распроданы»; 4) D = «билет в театр комедии куплен раньше, чем в театр эстрады».
спросил 17 Апр, 18 от Olga_der в категории экономические


решение вопроса

+2

решение к заданию по математике
 

ответил 17 Апр, 18 от sweтлaна

Связанных вопросов не найдено

Обучайтесь и развивайтесь всесторонне вместе с нами, делитесь знаниями и накопленным опытом, расширяйте границы знаний и ваших умений.

Популярное на сайте:

Как быстро выучить стихотворение наизусть? Запоминание стихов является стандартным заданием во многих школах. 

Как научится читать по диагонали? Скорость чтения зависит от скорости восприятия каждого отдельного слова в тексте. 

Как быстро и эффективно исправить почерк?  Люди часто предполагают, что каллиграфия и почерк являются синонимами, но это не так.

Как научится говорить грамотно и правильно? Общение на хорошем, уверенном и естественном русском языке является достижимой целью.