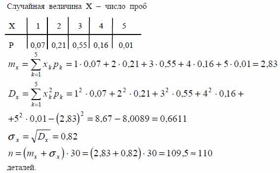
При сборке прибора для наиболее полной подгонки основной детали может потребоваться (в зависимости от удачи) 1,2,3,4 или 5 проб соответственно с вероятностью 0,07 ; 0,21 ; 0,55 ; 0,16 ; 0,01. Требуется снабдить сборщика необходимым количеством деталей для сборки 30 приборов . Сколько деталей необходимо отпустить сборщику ?
спросил 16 Апр, 18 от Olga_der в категории экономические


решение вопроса

+2

решение к заданию по математике
 

ответил 16 Апр, 18 от sweтлaна

Связанных вопросов не найдено

Обучайтесь и развивайтесь всесторонне вместе с нами, делитесь знаниями и накопленным опытом, расширяйте границы знаний и ваших умений.

Популярное на сайте:

Как быстро выучить стихотворение наизусть? Запоминание стихов является стандартным заданием во многих школах. 

Как научится читать по диагонали? Скорость чтения зависит от скорости восприятия каждого отдельного слова в тексте. 

Как быстро и эффективно исправить почерк?  Люди часто предполагают, что каллиграфия и почерк являются синонимами, но это не так.

Как научится говорить грамотно и правильно? Общение на хорошем, уверенном и естественном русском языке является достижимой целью.