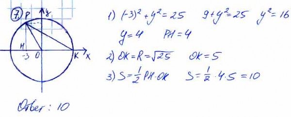
Окружность, заданная уравнением х2 + у2 = 25, пересекает положительную полуось Ох в точке К, точка Р лежит на окружности, её абсцисса равна -3. Найдите площадь треугольника ОКР.
спросил 21 Фев, 18 от Ekатерина в категории школьный раздел


решение вопроса

+4

решение задания по геометрии
 

ответил 21 Фев, 18 от Oльга

Связанных вопросов не найдено

Обучайтесь и развивайтесь всесторонне вместе с нами, делитесь знаниями и накопленным опытом, расширяйте границы знаний и ваших умений.

Популярное на сайте:

Как быстро выучить стихотворение наизусть? Запоминание стихов является стандартным заданием во многих школах. 

Как научится читать по диагонали? Скорость чтения зависит от скорости восприятия каждого отдельного слова в тексте. 

Как быстро и эффективно исправить почерк?  Люди часто предполагают, что каллиграфия и почерк являются синонимами, но это не так.

Как научится говорить грамотно и правильно? Общение на хорошем, уверенном и естественном русском языке является достижимой целью.