Отрезок АВ — диаметр окружности, радиус которой равен 7,5 см. Точка М окружности удалена от точки А на 5V5 см. Найдите расстояние от точки М до прямой АВ.
спросил 19 Фев, 18 от Ekатерина в категории школьный раздел


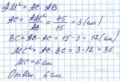
решение вопроса

+4

решение задания по геометрии
 

ответил 19 Фев, 18 от Oльга

Связанных вопросов не найдено

Обучайтесь и развивайтесь всесторонне вместе с нами, делитесь знаниями и накопленным опытом, расширяйте границы знаний и ваших умений.

Популярное на сайте:

Как быстро выучить стихотворение наизусть? Запоминание стихов является стандартным заданием во многих школах. 

Как научится читать по диагонали? Скорость чтения зависит от скорости восприятия каждого отдельного слова в тексте. 

Как быстро и эффективно исправить почерк?  Люди часто предполагают, что каллиграфия и почерк являются синонимами, но это не так.

Как научится говорить грамотно и правильно? Общение на хорошем, уверенном и естественном русском языке является достижимой целью.