По самолету производят 4 независимых выстрела. Вероятность попадания 0,1. Чтобы вывести самолет из строя достаточно 3 попаданий.
P1=0,6 – выход самолета при одном попадании
P2=0,8 – выход самолета при двух попаданиях
P3=1 – выход самолета при трех попаданиях
Найти вероятность поражения самолета
спросил 06 Июнь, 17 от serba в категории экономические


решение вопроса

+4

Решение:
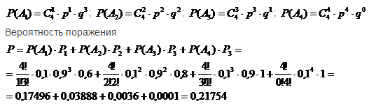
P(A1) – попали по самолету один раз (из 4-х)
P(A2) - попали по самолету два раза (из 4-х)
P(A3) - попали по самолету три раза (из 4-х)
P(A4) попали по самолету четыре раза (из 4-х) 

ответил 06 Июнь, 17 от милани

Связанных вопросов не найдено

Обучайтесь и развивайтесь всесторонне вместе с нами, делитесь знаниями и накопленным опытом, расширяйте границы знаний и ваших умений.

Популярное на сайте:

Как быстро выучить стихотворение наизусть? Запоминание стихов является стандартным заданием во многих школах. 

Как научится читать по диагонали? Скорость чтения зависит от скорости восприятия каждого отдельного слова в тексте. 

Как быстро и эффективно исправить почерк?  Люди часто предполагают, что каллиграфия и почерк являются синонимами, но это не так.

Как научится говорить грамотно и правильно? Общение на хорошем, уверенном и естественном русском языке является достижимой целью.