На поверхности озера находится лодка. Она перпендикулярна к берегу и обращена к нему носом. Расстояние между носом лодки и берегом равно 0,75 м. В начальный момент лодка неподвижна. Человек, находящийся в лодке, переходит с носа лодки на корму. Причалит ли лодка к берегу за это время, если ее длина 2 м? Масса лодки 140 кг, масса человека 60 кг.
спросил 12 Фев, 17 от simaks в категории школьный раздел


решение вопроса

+4

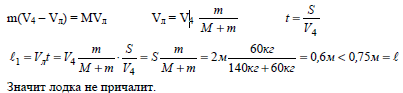
= 0,75м; ℓ = 2м; M = 140м; m = 60кг
Пусть Vл – скорость лодки относительно воды, V4 – скорость человека относительно воды V4 – Vл.
По закону сохранения импульса

ответил 12 Фев, 17 от sofika

Связанных вопросов не найдено

Обучайтесь и развивайтесь всесторонне вместе с нами, делитесь знаниями и накопленным опытом, расширяйте границы знаний и ваших умений.

Популярное на сайте:

Как быстро выучить стихотворение наизусть? Запоминание стихов является стандартным заданием во многих школах. 

Как научится читать по диагонали? Скорость чтения зависит от скорости восприятия каждого отдельного слова в тексте. 

Как быстро и эффективно исправить почерк?  Люди часто предполагают, что каллиграфия и почерк являются синонимами, но это не так.

Как научится говорить грамотно и правильно? Общение на хорошем, уверенном и естественном русском языке является достижимой целью.