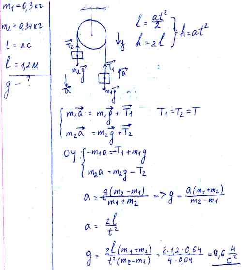
На нити, перекинутой через неподвижный блок, подвешены грузы массами 0,3 кг и 0,34 кг. За 2 с после начала движения каждый груз прошел путь 1,2 м. Найдите ускорение свободного падения, исходя из данных опыта
спросил 11 Фев, 17 от simaks в категории школьный раздел


решение вопроса

+7
Лучший ответ

ответ к заданию по физике
 

ответил 21 Дек, 18 от Olenka
+4

Решение задачи представлено в виде картинки и приложено к ответу

ответил 11 Фев, 17 от sofika

Связанных вопросов не найдено

Обучайтесь и развивайтесь всесторонне вместе с нами, делитесь знаниями и накопленным опытом, расширяйте границы знаний и ваших умений.

Популярное на сайте:

Как быстро выучить стихотворение наизусть? Запоминание стихов является стандартным заданием во многих школах. 

Как научится читать по диагонали? Скорость чтения зависит от скорости восприятия каждого отдельного слова в тексте. 

Как быстро и эффективно исправить почерк?  Люди часто предполагают, что каллиграфия и почерк являются синонимами, но это не так.

Как научится говорить грамотно и правильно? Общение на хорошем, уверенном и естественном русском языке является достижимой целью.