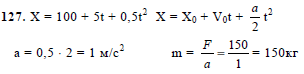
Под действием силы 150 Н тело движется так, что его координата в направлении действия силы изменяется по закону x=100+5t+0,5t2. Какова масса тела?
спросил 11 Фев, 17 от simaks в категории школьный раздел


решение вопроса

+4

Решение задачи представлено в виде картинки и приложено к ответу

ответил 11 Фев, 17 от sofika

Связанных вопросов не найдено

Обучайтесь и развивайтесь всесторонне вместе с нами, делитесь знаниями и накопленным опытом, расширяйте границы знаний и ваших умений.

Популярное на сайте:

Как быстро выучить стихотворение наизусть? Запоминание стихов является стандартным заданием во многих школах. 

Как научится читать по диагонали? Скорость чтения зависит от скорости восприятия каждого отдельного слова в тексте. 

Как быстро и эффективно исправить почерк?  Люди часто предполагают, что каллиграфия и почерк являются синонимами, но это не так.

Как научится говорить грамотно и правильно? Общение на хорошем, уверенном и естественном русском языке является достижимой целью.