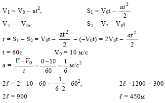
Два поезда одинаковой длины идут навстречу друг другу по параллельным путям с одинаковой скоростью 36 км/ч. В момент, когда поравнялись головные вагоны, один из поездов начинает тормозить и полностью останавливается к моменту, когда поравнялись последние вагоны составов. Найдите длину каждого поезда, если время торможения составило 1 мин
спросил 11 Фев, 17 от simaks в категории школьный раздел


решение вопроса

+4

От момента встречи до момента остановки расстояние между головными вагонами увеличится на 2l м.

ответил 11 Фев, 17 от sofika
+5

ответ к заданию по физике
 

ответил 19 Сен, 18 от derov

Связанных вопросов не найдено

Обучайтесь и развивайтесь всесторонне вместе с нами, делитесь знаниями и накопленным опытом, расширяйте границы знаний и ваших умений.

Популярное на сайте:

Как быстро выучить стихотворение наизусть? Запоминание стихов является стандартным заданием во многих школах. 

Как научится читать по диагонали? Скорость чтения зависит от скорости восприятия каждого отдельного слова в тексте. 

Как быстро и эффективно исправить почерк?  Люди часто предполагают, что каллиграфия и почерк являются синонимами, но это не так.

Как научится говорить грамотно и правильно? Общение на хорошем, уверенном и естественном русском языке является достижимой целью.