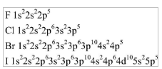
Начертите схемы распределения электронов в атомах галогенов по энергетическим уровням. Поясните, какой из них и почему должен быть самым сильным окислителем
спросил 08 Фев, 17 от simaks в категории школьный раздел


решение вопроса

+4

У всех галогенов на внешнем электронном уровне находится семь электронов, и для построения устойчивого восьмиэлек-тронного уровня не хватает всего одного электрона.

ответил 08 Фев, 17 от sofika

Связанных вопросов не найдено

Обучайтесь и развивайтесь всесторонне вместе с нами, делитесь знаниями и накопленным опытом, расширяйте границы знаний и ваших умений.

Популярное на сайте:

Как быстро выучить стихотворение наизусть? Запоминание стихов является стандартным заданием во многих школах. 

Как научится читать по диагонали? Скорость чтения зависит от скорости восприятия каждого отдельного слова в тексте. 

Как быстро и эффективно исправить почерк?  Люди часто предполагают, что каллиграфия и почерк являются синонимами, но это не так.

Как научится говорить грамотно и правильно? Общение на хорошем, уверенном и естественном русском языке является достижимой целью.