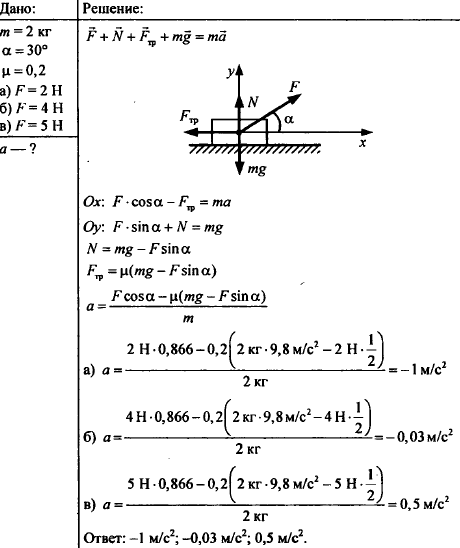
На тело массой 2 кг, лежащее на горизонтальной поверхности, начинает действовать сила F (рис. 153), направленная под углом α = 30° к горизонту. Коэффициент трения между телом и поверхностью равен 0,2. Определите ускорение тела, если модуль силы равен: а) 2 Н; б) 4 Н; в) 5 Н
спросил 27 Дек, 16 от элиза в категории школьный раздел


решение вопроса

+4

Решение к задаче по физике представлено в виде картинки и приложено к ответу

ответил 27 Дек, 16 от restow

Связанных вопросов не найдено

Обучайтесь и развивайтесь всесторонне вместе с нами, делитесь знаниями и накопленным опытом, расширяйте границы знаний и ваших умений.

Популярное на сайте:

Как быстро выучить стихотворение наизусть? Запоминание стихов является стандартным заданием во многих школах. 

Как научится читать по диагонали? Скорость чтения зависит от скорости восприятия каждого отдельного слова в тексте. 

Как быстро и эффективно исправить почерк?  Люди часто предполагают, что каллиграфия и почерк являются синонимами, но это не так.

Как научится говорить грамотно и правильно? Общение на хорошем, уверенном и естественном русском языке является достижимой целью.