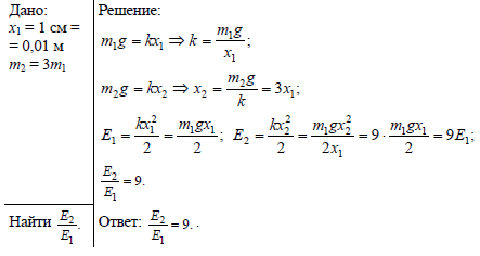
Груз растягивает пружину динамометра на 1 см. Во сколько раз увеличится потенциальная энергия пружины, если массу груза утроить
спросил 25 Дек, 16 от снежко в категории школьный раздел


решение вопроса

+4

В равновесии сила упругости пружины равна силе тяжести kx=mg. Поэтому если увеличить массу груза в 3 раза, то растяжение пружины и сила упругости возрастут тоже в 3 раза. Потенциальная энергия пружины равна работе, совершенной против силы упругости. Но работа силы есть произведение силы на перемещение х. Таким образом, работа силы упругости оказывается пропорциональной х2 и при увеличении массы груза в 3 раза потенциальная энергия пружины увеличится в 9 раз.

ответил 25 Дек, 16 от страничка

Связанных вопросов не найдено

Обучайтесь и развивайтесь всесторонне вместе с нами, делитесь знаниями и накопленным опытом, расширяйте границы знаний и ваших умений.

Популярное на сайте:

Как быстро выучить стихотворение наизусть? Запоминание стихов является стандартным заданием во многих школах. 

Как научится читать по диагонали? Скорость чтения зависит от скорости восприятия каждого отдельного слова в тексте. 

Как быстро и эффективно исправить почерк?  Люди часто предполагают, что каллиграфия и почерк являются синонимами, но это не так.

Как научится говорить грамотно и правильно? Общение на хорошем, уверенном и естественном русском языке является достижимой целью.