Лабораторная работа №5. Определение плотности твердого тела
спросил 24 Дек, 16 от снежко в категории школьный раздел


решение вопроса

+4

Цель работы: научиться определять плотность твердого тела с помощью весов и измерительного цилиндра
В предыдущих лабораторных работах вы научились пользоваться весами и измерительным цилиндром, и проводить измерения с их помощью. Как вы помните плотность тела - это отношение массы тела к его объему.
p=m/V
Определив с помощью весов массу тела, а с помощью мензурки его объем, вы сможете рассчитать его плотность.
Рассчитав плотность тела и зная, что оно однородно и не имеет пустот, можно по справочникам определить, из какого вещества оно состоит.
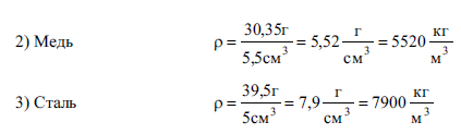
Пример выполнения работы:

ответил 24 Дек, 16 от страничка

Связанных вопросов не найдено

Обучайтесь и развивайтесь всесторонне вместе с нами, делитесь знаниями и накопленным опытом, расширяйте границы знаний и ваших умений.

Популярное на сайте:

Как быстро выучить стихотворение наизусть? Запоминание стихов является стандартным заданием во многих школах. 

Как научится читать по диагонали? Скорость чтения зависит от скорости восприятия каждого отдельного слова в тексте. 

Как быстро и эффективно исправить почерк?  Люди часто предполагают, что каллиграфия и почерк являются синонимами, но это не так.

Как научится говорить грамотно и правильно? Общение на хорошем, уверенном и естественном русском языке является достижимой целью.