Смесь меди и оксида меди(II) массой 2г, растворили в конц.серной кислоте. При этом выделился газ объемом 0,56(н.у) Вычислить массовую долю оксида меди в смеси
спросил 22 Дек, 16 от снежко в категории школьный раздел


решение вопроса

+4
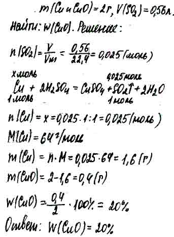
Решение.
Составим уравнения реакции.
Сu + 2H2SO4 = CuSO4 + SO2  + 2H2O
CuO + H2SO4 = CuSO4 + H2O

Как видно из уравнений реакции, то только в одном из них выделяется SO2 . Таким образом, используя пропорцию между объемом выделенного газа и меди, определим, сколько меди вступило в первую реакцию.

По уравнению реакции находим массу меди:
из 64 г Cu выделилось 22,4 л SO2
тогда из Х г  выделилось 0,56 л

Откуда х = 1,6 г

Значит, оксида меди: 2 - 1,6 = 0,4 г

Откуда массовая доля составляет 0,4/2 = 0,2 или 20%
ответил 22 Дек, 16 от viola
+7

решение задания по химии
 

ответил 05 Янв, 20 от белоня

Связанных вопросов не найдено

Обучайтесь и развивайтесь всесторонне вместе с нами, делитесь знаниями и накопленным опытом, расширяйте границы знаний и ваших умений.

Популярное на сайте:

Как быстро выучить стихотворение наизусть? Запоминание стихов является стандартным заданием во многих школах. 

Как научится читать по диагонали? Скорость чтения зависит от скорости восприятия каждого отдельного слова в тексте. 

Как быстро и эффективно исправить почерк?  Люди часто предполагают, что каллиграфия и почерк являются синонимами, но это не так.

Как научится говорить грамотно и правильно? Общение на хорошем, уверенном и естественном русском языке является достижимой целью.