Можно ли утверждать, что изохорный процесс равновесный? С какими процессами вы встречаетесь в повседневной жизни?
спросил 01 Янв, 20 от белоня в категории школьный раздел


решение вопроса

+7

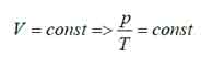
Изохорный процесс можно считать равновесным, т.к. для него выполняется условие:

ответил 01 Янв, 20 от лерка

Связанных вопросов не найдено

Обучайтесь и развивайтесь всесторонне вместе с нами, делитесь знаниями и накопленным опытом, расширяйте границы знаний и ваших умений.

Популярное на сайте:

Как быстро выучить стихотворение наизусть? Запоминание стихов является стандартным заданием во многих школах. 

Как научится читать по диагонали? Скорость чтения зависит от скорости восприятия каждого отдельного слова в тексте. 

Как быстро и эффективно исправить почерк?  Люди часто предполагают, что каллиграфия и почерк являются синонимами, но это не так.

Как научится говорить грамотно и правильно? Общение на хорошем, уверенном и естественном русском языке является достижимой целью.