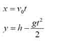
Напишите уравнения движения тела в случае, если тело бросают горизонтально с высоты h. Сравните свои уравнения с уравнениями, написанными  соседом по парте.
спросил 31 Дек, 19 от белоня в категории школьный раздел


решение вопроса

+7

ответ к заданию по физике
 

ответил 31 Дек, 19 от лерка

Связанных вопросов не найдено

Обучайтесь и развивайтесь всесторонне вместе с нами, делитесь знаниями и накопленным опытом, расширяйте границы знаний и ваших умений.

Популярное на сайте:

Как быстро выучить стихотворение наизусть? Запоминание стихов является стандартным заданием во многих школах. 

Как научится читать по диагонали? Скорость чтения зависит от скорости восприятия каждого отдельного слова в тексте. 

Как быстро и эффективно исправить почерк?  Люди часто предполагают, что каллиграфия и почерк являются синонимами, но это не так.

Как научится говорить грамотно и правильно? Общение на хорошем, уверенном и естественном русском языке является достижимой целью.