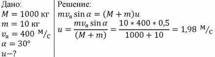
Ядро массой 10 кг летит вниз под углом 30° к вертикали. Оно попадает в стоящую на гладкой горизонтальной площадке платформу с песком и застревает в песке. Модуль скорости ядра в момент падения равен 400 м/с. Масса платформы равна 1 т. Определите модуль скорости платформы с застрявшим в песке ядром.
спросил 14 Сен, 19 от liniska в категории школьный раздел


решение вопроса

+6

ответ к заданию по физике
 

ответил 14 Сен, 19 от kitkat

Связанных вопросов не найдено

Обучайтесь и развивайтесь всесторонне вместе с нами, делитесь знаниями и накопленным опытом, расширяйте границы знаний и ваших умений.

Популярное на сайте:

Как быстро выучить стихотворение наизусть? Запоминание стихов является стандартным заданием во многих школах. 

Как научится читать по диагонали? Скорость чтения зависит от скорости восприятия каждого отдельного слова в тексте. 

Как быстро и эффективно исправить почерк?  Люди часто предполагают, что каллиграфия и почерк являются синонимами, но это не так.

Как научится говорить грамотно и правильно? Общение на хорошем, уверенном и естественном русском языке является достижимой целью.