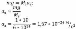
Оцените ускорение Земли относительно инерциальной системы отсчёта, вызванное действием на Землю свободно падающего камня  массой  m  = 1  кг.  Массу  Земли  считайте  равной
M = 6*10^24
Указания: система отсчета, связанная с Землей, в этой задаче не может считаться инерциальной. Поэтому задачу надо решать в ИСО, связанной не с Землёй, а с каким-нибудь удалённым небесным телом (одной из звёзд). Воспользуйтесь третьим законом Ньютона для взаимодействующих камня и Земли, затем воспользуйтесь вторым законом Ньютона для Земли.
спросил 13 Сен, 19 от liniska в категории школьный раздел


решение вопроса

+6

ответ к заданию по физике
 

ответил 13 Сен, 19 от kitkat

Связанных вопросов не найдено

Обучайтесь и развивайтесь всесторонне вместе с нами, делитесь знаниями и накопленным опытом, расширяйте границы знаний и ваших умений.

Популярное на сайте:

Как быстро выучить стихотворение наизусть? Запоминание стихов является стандартным заданием во многих школах. 

Как научится читать по диагонали? Скорость чтения зависит от скорости восприятия каждого отдельного слова в тексте. 

Как быстро и эффективно исправить почерк?  Люди часто предполагают, что каллиграфия и почерк являются синонимами, но это не так.

Как научится говорить грамотно и правильно? Общение на хорошем, уверенном и естественном русском языке является достижимой целью.