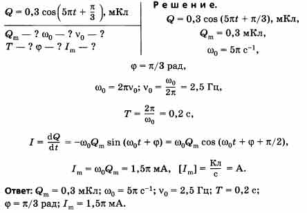
Электрический заряд на обкладках конденсатора в колебательном контуре изменяется по следующему закону: Q = 0,3 cos (2пt + п/3), мКл. Определите: амплитуду колебаний заряда Qm на обкладках конденсатора; циклическую частоту w0; частоту v0; период m и начальную фазу ф колебаний заряда; амплитуду Im силы тока в контуре
спросил 28 Авг, 19 от liniska в категории школьный раздел


решение вопроса

+6

ответ к заданию по физике
 

ответил 28 Авг, 19 от kitkat

Связанных вопросов не найдено

Обучайтесь и развивайтесь всесторонне вместе с нами, делитесь знаниями и накопленным опытом, расширяйте границы знаний и ваших умений.

Популярное на сайте:

Как быстро выучить стихотворение наизусть? Запоминание стихов является стандартным заданием во многих школах. 

Как научится читать по диагонали? Скорость чтения зависит от скорости восприятия каждого отдельного слова в тексте. 

Как быстро и эффективно исправить почерк?  Люди часто предполагают, что каллиграфия и почерк являются синонимами, но это не так.

Как научится говорить грамотно и правильно? Общение на хорошем, уверенном и естественном русском языке является достижимой целью.