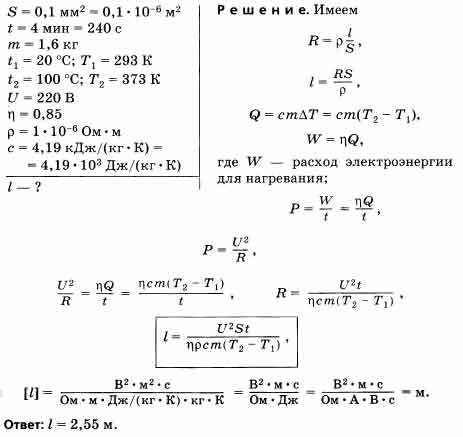
Определите длину I нихромовой проволоки сечением S = 0,1 мм2, необходимую для изготовления нагревателя, с помощью которого можно за t = 4 мин вскипятить воду массой m = 1,6 кг, взятую при температуре t1 = 20 °С. Напряжение в сети U = 220 В, КПД нагревателя n = 0,85, удельное сопротивление нихрома р = 1 мкОм • м (р считать постоянным), удельная теплоемкость воды с = 4,19 кДж/(кг • К).
спросил 28 Авг, 19 от liniska в категории школьный раздел


решение вопроса

+6

ответ к заданию по физике
 

ответил 28 Авг, 19 от kitkat

Связанных вопросов не найдено

Обучайтесь и развивайтесь всесторонне вместе с нами, делитесь знаниями и накопленным опытом, расширяйте границы знаний и ваших умений.

Популярное на сайте:

Как быстро выучить стихотворение наизусть? Запоминание стихов является стандартным заданием во многих школах. 

Как научится читать по диагонали? Скорость чтения зависит от скорости восприятия каждого отдельного слова в тексте. 

Как быстро и эффективно исправить почерк?  Люди часто предполагают, что каллиграфия и почерк являются синонимами, но это не так.

Как научится говорить грамотно и правильно? Общение на хорошем, уверенном и естественном русском языке является достижимой целью.