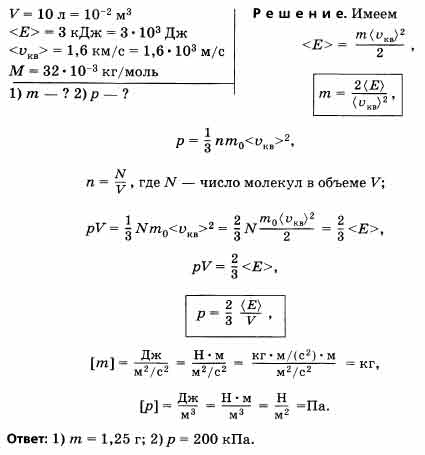
Средняя кинетическая энергия <Е> поступательного движения молекул кислорода, находящегося в баллоне вместимостью V = 10 л, равна 3 кДж, а средняя квадратичная скорость <v> его молекул равна 1,6 км/с. Определите: 1) массу m кислорода в баллоне; 2) давление р, под которым находится кислород.
спросил 27 Авг, 19 от liniska в категории школьный раздел


решение вопроса

+6

ответ к заданию по физике
 

ответил 27 Авг, 19 от kitkat

Связанных вопросов не найдено

Обучайтесь и развивайтесь всесторонне вместе с нами, делитесь знаниями и накопленным опытом, расширяйте границы знаний и ваших умений.

Популярное на сайте:

Как быстро выучить стихотворение наизусть? Запоминание стихов является стандартным заданием во многих школах. 

Как научится читать по диагонали? Скорость чтения зависит от скорости восприятия каждого отдельного слова в тексте. 

Как быстро и эффективно исправить почерк?  Люди часто предполагают, что каллиграфия и почерк являются синонимами, но это не так.

Как научится говорить грамотно и правильно? Общение на хорошем, уверенном и естественном русском языке является достижимой целью.