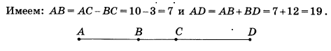
На прямой последовательно расположены точки А , В , С и D, при этом АС = 10 , BD = 12, ВС = 3. Найдите длину отрезка AD.
спросил 12 Июль, 19 от ruruan в категории школьный раздел


решение вопроса

+4

будет равна 19

ответил 12 Июль, 19 от Елена Краснова

Связанных вопросов не найдено

Обучайтесь и развивайтесь всесторонне вместе с нами, делитесь знаниями и накопленным опытом, расширяйте границы знаний и ваших умений.

Популярное на сайте:

Как быстро выучить стихотворение наизусть? Запоминание стихов является стандартным заданием во многих школах. 

Как научится читать по диагонали? Скорость чтения зависит от скорости восприятия каждого отдельного слова в тексте. 

Как быстро и эффективно исправить почерк?  Люди часто предполагают, что каллиграфия и почерк являются синонимами, но это не так.

Как научится говорить грамотно и правильно? Общение на хорошем, уверенном и естественном русском языке является достижимой целью.