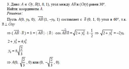
Даны две точки: А, лежащая на оси ординат, и В(1; 0; 1). Прямая АВ составляет с плоскостью Oxz угол в 30°. Найдите координаты точки А.
спросил 21 Фев, 19 от Ольга Миронова в категории школьный раздел


решение вопроса

+8

решение задания по геометрии
 

ответил 21 Фев, 19 от sadkova

Связанных вопросов не найдено

Обучайтесь и развивайтесь всесторонне вместе с нами, делитесь знаниями и накопленным опытом, расширяйте границы знаний и ваших умений.

Популярное на сайте:

Как быстро выучить стихотворение наизусть? Запоминание стихов является стандартным заданием во многих школах. 

Как научится читать по диагонали? Скорость чтения зависит от скорости восприятия каждого отдельного слова в тексте. 

Как быстро и эффективно исправить почерк?  Люди часто предполагают, что каллиграфия и почерк являются синонимами, но это не так.

Как научится говорить грамотно и правильно? Общение на хорошем, уверенном и естественном русском языке является достижимой целью.