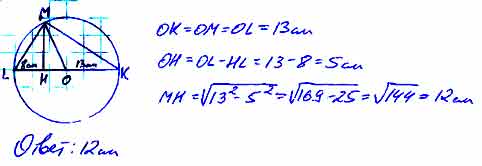
Прямоугольный треугольник MKL вписан в окружность радиуса 13 см. Найдите длину высоты МН, опущенной на наибольшую сторону треугольника, если HL = 8 см
спросил 14 Фев, 19 от цельсия в категории школьный раздел


решение вопроса

+8

решение задания по геометрии
 

ответил 14 Фев, 19 от аминна

Связанных вопросов не найдено

Обучайтесь и развивайтесь всесторонне вместе с нами, делитесь знаниями и накопленным опытом, расширяйте границы знаний и ваших умений.

Популярное на сайте:

Как быстро выучить стихотворение наизусть? Запоминание стихов является стандартным заданием во многих школах. 

Как научится читать по диагонали? Скорость чтения зависит от скорости восприятия каждого отдельного слова в тексте. 

Как быстро и эффективно исправить почерк?  Люди часто предполагают, что каллиграфия и почерк являются синонимами, но это не так.

Как научится говорить грамотно и правильно? Общение на хорошем, уверенном и естественном русском языке является достижимой целью.