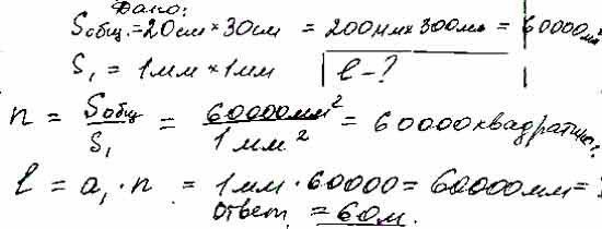
Вообразите, что лист миллиметровой бумаги размером 20 см х 30 см разрезали на квадратики 1 мм х 1 мм. Какой будет длина полоски шириной 1 мм, выложенной из этих квадратиков?
спросил 27 Дек, 18 от cevka в категории школьный раздел


решение вопроса

+7

ответ к заданию по физике
 

ответил 27 Дек, 18 от Olenka

Связанных вопросов не найдено

Обучайтесь и развивайтесь всесторонне вместе с нами, делитесь знаниями и накопленным опытом, расширяйте границы знаний и ваших умений.

Популярное на сайте:

Как быстро выучить стихотворение наизусть? Запоминание стихов является стандартным заданием во многих школах. 

Как научится читать по диагонали? Скорость чтения зависит от скорости восприятия каждого отдельного слова в тексте. 

Как быстро и эффективно исправить почерк?  Люди часто предполагают, что каллиграфия и почерк являются синонимами, но это не так.

Как научится говорить грамотно и правильно? Общение на хорошем, уверенном и естественном русском языке является достижимой целью.