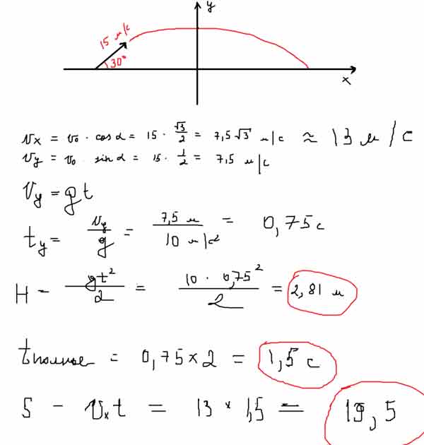
Тело брошено со скоростью 0 υ = 15 м/с под углом α = 30° к горизонту. Пренебрегая сопротивлением воздуха, определите: 1) высоту h подъема тела; 2) дальность полета (по горизонтали)  s тела; 3) время его движения.
Ответ: 1) h=2.87 м;  2) s = 19.9 м; 3) t = 1.53 с
спросил 24 Дек, 18 от аноним в категории школьный раздел


решение вопроса

+7

ответ и решение к заданию: 

ответил 24 Дек, 18 от sweto

Связанных вопросов не найдено

Обучайтесь и развивайтесь всесторонне вместе с нами, делитесь знаниями и накопленным опытом, расширяйте границы знаний и ваших умений.

Популярное на сайте:

Как быстро выучить стихотворение наизусть? Запоминание стихов является стандартным заданием во многих школах. 

Как научится читать по диагонали? Скорость чтения зависит от скорости восприятия каждого отдельного слова в тексте. 

Как быстро и эффективно исправить почерк?  Люди часто предполагают, что каллиграфия и почерк являются синонимами, но это не так.

Как научится говорить грамотно и правильно? Общение на хорошем, уверенном и естественном русском языке является достижимой целью.