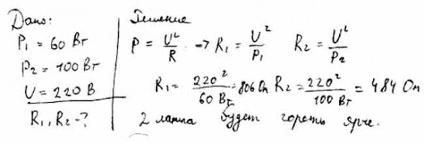
Имеются две лампы мощностью 60 и 100 Вт, рассчитанные на напряжение 220 В. Какая из них будет гореть ярче при включении в осветительную сеть?
спросил 26 Апр, 18 от Olга в категории школьный раздел


решение вопроса

+2

ответ к заданию по физике
 

ответил 26 Апр, 18 от мериам

Связанных вопросов не найдено

Обучайтесь и развивайтесь всесторонне вместе с нами, делитесь знаниями и накопленным опытом, расширяйте границы знаний и ваших умений.

Популярное на сайте:

Как быстро выучить стихотворение наизусть? Запоминание стихов является стандартным заданием во многих школах. 

Как научится читать по диагонали? Скорость чтения зависит от скорости восприятия каждого отдельного слова в тексте. 

Как быстро и эффективно исправить почерк?  Люди часто предполагают, что каллиграфия и почерк являются синонимами, но это не так.

Как научится говорить грамотно и правильно? Общение на хорошем, уверенном и естественном русском языке является достижимой целью.